Permohonan Ke Sekolah Kawalan Menengah Sekolah Kebangsaan Pulau Indah Facebook
Sekolah Kawalan
Semakan Permohonan Ke Ting 1 Sekolah Kawalan 2017 Smka Sabk Kaa Dan Krk
Semakan Keputusan Sekolah Kawalan 2021 Secara Online
Permohonan Ke Tingkatan 1 Sekolah Kawalan Putrajaya Tahun 2018
Permohonan Sekolah Kawalan 2017 Smka Sabk Krk Dan Kaa Online As
Permohonan Ke Sekolah Kawalan 2017
Permohonan Sekolah Kawalan 2017 Online
Permohonan Tingkatan 1 Sekolah Kawalan Putrajaya 2021 Smka Kaa
Borang Permohonan Penempatan Sekolah Ke Tingkatan Satu Tahun 2018 Sekolah Kawalan Negeri Pulau Pinang Dan Senarai Sekolah Kawalan Negeri Pulau Pinang Sjk C Min Sin 槟城明新学校
Semakan Keputusan Sekolah Kawalan 2021 Krk Kaa Sabk Smka
Manual Sop Pengambilan Murid Krk Dan Sm Kawalan 2017 Pdf
Untuk Ppd Taklimat Sekolah Kawalan Negeri Perak 2017
Cetakan Dan Semakan Permohonan Ke Sk Bandar Uda 2 Johor Bahru Facebook
Permohonan Tingkatan Satu Ke Sekolah Kawalan Smka Kelas Rancangan Khas Krk Kelas Kawalan Kelas Aliran Agama Kaa Negeri Johor Ambilan 2017 Ppt Download
Borang Permohonan Penempatan Sekolah Ke Tingkatan Satu Tahun 2018 Sekolah Kawalan Negeri Pulau Pinang Dan Senarai Sekolah Kawalan Negeri Pulau Pinang Sjk C Min Sin 槟城明新学校
Sk Seri Cheding Permohonan Ke Sekolah Kawalan Menengah Ambilan 2017
Pemohonan Sekolah Kawalan 2017
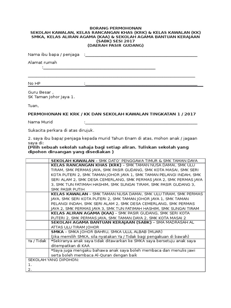
Borang Permohonan Sekolah Kawalan
Semakan Tawaran Sekolah Kawalan 2021 Krk Kaa Smka Sabk Online Semakan Upu